多糖

聚合糖高分子碳水化合物
1
4
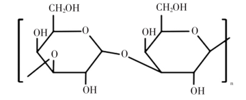
多糖(Polysaccharide),又称聚糖,是由十个以上单糖分子通过糖苷键连接成的聚合糖高分子碳水化合物,可用通式(C6H10O5)n表示。[1]多糖通常不具有甜味,也不具有还原性,不能形成结晶,具有旋光性却无变旋现象。多糖一般呈现为无定形的粉末,[3]大多不溶于水,也不能在水中形成真溶液。然而,由于多糖含有许多羟基,它们可以与水分子形成氢键,表现出亲水性和水合能力,在水中多糖会吸水膨胀,可形成胶体溶液。[2]多糖不是一种纯粹的化学物质,而是聚合程度不同的物质的混合物。在水解过程中,往往产生一系列的中间产物,最终完全水解得到单糖。[4]
多糖的分类方式有很多种,按照原料来源来分,可将多糖分为植物多糖、动物多糖和微生物多糖;按分子量大小和组成结构划分,可将多糖分为均一多糖(也称同多糖)和非均一多糖(也称杂多糖);[5]多糖按功能可分为两大类:一类是结构多糖,作为细胞的骨架物质,如构成植物细胞壁纤维素半纤维素,构成细菌细胞壁的肽聚糖等;另一类是贮藏多糖,是重要的能量贮存形式,如植物中的淀粉、动物体内的糖原等。[6]
多糖在食物中的主要来源于谷物和根茎类蔬菜中,[7][8]如真菌类(香菇、银耳、黑木耳、金针菇猴头菌)、南瓜、海带、大蒜、洋葱及红薯等。[8]多糖是一种亲水性大分子物质,其分离和纯化方法除了传统的提取方法外,一些新的提取方法(如生物酶提取法、超声提取法、微波提取法等)在多糖的提取中也得到运用。[9]
多糖的应用广泛,在医药领域,一些研究表明部分多糖及衍生物在抗凝、降血脂、提高机体免疫力和抗肿瘤、抗辐射方面具有显著的药理作用与疗效;[10]在化妆品领域,多糖较强的抗氧化和其他活性可以应用于皮肤科疾病治疗或化妆品中,起到美容、美白作用;在食品领域,多糖可用作食品添加剂,起到乳化、保鲜等作用,还可以添加至食品中,赋予食品一定的药理功能;在烟草领域,多糖能够在低湿条件下降低烟丝的失水率,并且具有增加香气量、提高烟气细腻度、增强回甜感以及减轻杂气等作用。此外,多糖还大量应用于工业废水处理、清洁用品、纺织上浆印刷工业等领域。[11]

研究历史