贝叶斯定理

托马斯·贝叶斯提出的数学定理
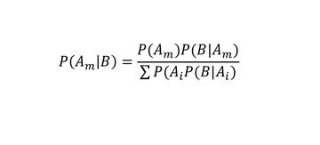
贝叶斯定理(Bayes Theorem),又称逆概定理和贝叶斯公式[3],被定义为若
构成一个完备事件组,并且它们都具有正概率,则对任何一个概率不为0的事件
,有
,
[1],贝叶斯定理除了该种事件形式外,还有离散分布形式和连续分布形式[11][12]
贝叶斯定理的历史可以追溯到18世纪,英国数学家托马斯·贝叶斯(Thomas Bayes)在一本名为《解决机会主义问题的论文》的书中提出了一种用于推断未知事件概率的方法,即贝叶斯定理。19世纪中期,英国统计学家阿德尔·贝尔和皮埃尔-西蒙·拉普拉斯分别对贝叶斯定理进行了深入的研究和推广,使其成为统计学和概率论中的基本定理之一[4][5][6]
基于贝叶斯定理的贝叶斯方法可分为单参数方法与多参数方法,它可以广泛地应用于生物学机器学习经济学、医学更各个领域,是一种重要的数学工具[11][13][7][8][9][10]

贝叶斯定理

贝叶斯定理的事件形式