传递函数零点
传递函数零点
创建同名条目
条目
历史版本
编辑
传递函数零点,在
线性定常系统
中,当初始条件为零时,输出量的
拉普拉斯变换
与输入量的拉普拉斯变换之比。
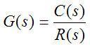
传递函数定义
在线性定常系统中,当初始条件为零时,输出量的拉普拉斯变换与输入量的拉普拉斯变换之比。公式如右图,其中C(s)、R(s)分别为输出量和输入量的拉普拉斯变换。
对于单变量系统,传递函数是以
复数
变量为自变量的一个标量函数;
对于
多变量系统
,输入输出关系的复数域表达式具有矩阵的形式,称为传递函数矩阵,它的每一个元对应地是相应输入和输出间的传递函数。