相对标准偏差
用来表示测试结果精密度的比值
创建同名条目
条目
历史版本
编辑
相对
标准偏差
(relative standard
deviation
;RSD)又叫标准偏差系数、
变异系数
、变动系数等,由
标准偏差
除以相应的平均值乘100%所得值,可在检验检测工作中分析结果的精密度。
简介
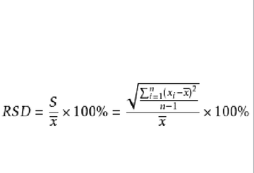
相对标准偏差(RSD,relative standard deviation)就是指:标准偏差与计算结果算术平均值的比值,即
该值通常用来表示分析测试结果的精密度,