定义式

反映某个物理量基本定义的式子
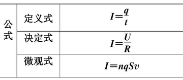
物理量都有定义和定义式。如E=F/q,C=Q/U,U=W/q,R=U/I等分别是电场强度、电容电势电阻的定义式,对于任何一个定义式,都不存在正比与反比的关系,它只表示量度该物理量的一种方法。

简介

例如
,我们不可以说“平行板电容器的电容C跟两板上所带的电量Q成正比,跟两板间的电压U成反比。”因为电容器的电容是客观存在的,当两板不带电时,电容依然存在。
分别表示点电荷的场强大小的关系式和平行板电容器间匀强电场的关系式。
表示电阻的关系式。对于任何一个关系式,都可以说正比与反比的关系,因为关系式就是表示该物理量的大小都与哪些因素有关系。在物理学习过程当中,要将物理量的定义式与关系式严格区分,深刻理解数学表达式所表示的物理意义,不可将两者混为一谈。
记住:定义式仅仅反映某个物理量的基本定义,而不反映某物理量的决定性因素。关系式是直接反映某物理量决定性因素的数学表达式。(譬如:加速度的定义式为a=Δ v/Δt,反映加速度是据某时段内速度变化Δ v与时间变化Δt的比值定义的,决定式为
,反映影响加速度的因素为合外力Σ F与质量m。)
新课标中“关系式”又称“决定式”。